Solve your problems with
COMET Method

The first MCDA method completely resistant to rank reversal paradox

COMET Method

A new quality in decision making

Currently existing multi-criteria decision-making (MCDM) methods yield results that may be questionable and unreliable. These methods very often ignore the issue of rank reversal paradox, which is a fundamental and essential challenge of MCDM methods. In response to this challenge, the Characteristic Objects Method (COMET) was developed. The classical COMET is entirely free of the rank reversal paradox.

COMET Algorithm

Fundamental information about COMET algorithm and fuzzy sets theory

Software & Manual

Download COMET software with comprehensive manual

Publications

Access the most important research papers about COMET

The COMET Method

Characteristic Objects Method - computational algorithm and fuzzy sets theory

Fuzzy Sets Theory: Preliminaries

Definition 1: The fuzzy set and the membership function
The characteristic function μA of a crisp set A ⊆ X assigns a value of either 0 or 1 to each member of X, as well as the crisp sets only allow a full membership μA(x)=1 or no membership at all μA(x)=0. This function can be generalized to a function μà so that the value assigned to the element of the universal set X falls within a specified range, i.e., μÃ: X → [0, 1]. The assigned value indicates the degree of membership of the element in the set Ã.
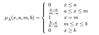
Definition 2: The triangular fuzzy number (TFN)
A fuzzy set Ã, defined on the universal set of real numbers R, is told to be a triangular fuzzy number Ã(a,m,b) if its membership function has the following form:
TFN equation
where a and b define the boundaries of the support (the range where membership is non-zero), and m represents the core (the point where membership equals 1). The triangular shape is created by linear interpolation between these three points.

An example of triangular fuzzy number Ã(a,m,b) is presented:
TFN example
Why TFNs are important in COMET: Triangular fuzzy numbers allow the method to handle uncertainty and vagueness in decision-making. They enable smooth transitions between different preference levels and make the evaluation process more flexible than using crisp values alone.
Definition 3: The support of a TFN
The support of a TFN à is defined as a crisp subset of the à set in which all elements have a non-zero membership value:
S(Ã) = {x: μÃ(x) > 0} = [a, b]
Definition 4: The core of a TFN
The core of a TFN Ã is a singleton (one-element fuzzy set) with the membership value equal to 1:
C(Ã) = {x: μÃ(x) = 1} = m
Definition 5: The fuzzy rule
The single fuzzy rule can be based on the Modus Ponens tautology. The reasoning process uses the IF-THEN, OR and AND logical connectives.
Definition 6: The rule base
The rule base consists of logical rules determining the causal relationships existing in the system between the input and output fuzzy sets.
Definition 7: The T-norm operator: product
The T-norm operator is a T function modeling the AND intersection operation of two or more fuzzy numbers. In the basic approach, only the ordinary product of real numbers is used as the T-norm operator:
μA(x) AND μB(y) = μA(x) · μB(y)
Application in COMET: The T-norm operator is essential for combining multiple fuzzy criteria during the inference process. When evaluating an alternative against the fuzzy rule base, the T-norm determines how well the alternative matches each rule's conditions, enabling the method to produce meaningful preference values through Mamdani's fuzzy inference mechanism.

The Characteristic Objects Method Algorithm

1

Definition of the space of the problem

The expert determines the dimensionality of the problem by selecting r criteria, C1, C2, ..., Cr. Then, a set of fuzzy numbers is selected for each criterion Ci:
equation2
where c1, c2, ..., cr are the ordinals of the fuzzy numbers for all criteria.

Important considerations: The characteristic values should define the minimum and maximum bounds of the decision problem domain. Typically, three characteristic values (minimum, maximum, and a point between them) are sufficient for most problems. These values can be uniformly distributed, selected based on statistics, or based on expert knowledge and Expected Solution Point.
2

Generation of the characteristic objects

The characteristic objects CO are obtained with the usage of the Cartesian product of the fuzzy numbers' cores of all the criteria:
equation3
As a result, an ordered set of all CO is obtained:
equation4
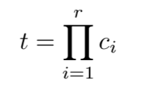
where t is the count of COs and is equal to:
equation5
3

Evaluation of the characteristic objects

The expert determines the Matrix of Expert Judgment (MEJ) by comparing the COs pairwise. The MEJ matrix contains values of 0, 0.5, or 1, where:
  • 1.0 - if the first CO is better than the second
  • 0.5 - if both COs are equally preferred
  • 0.0 - if the first CO is worse than the second
equation6
Efficiency note: Because the matrix is symmetric and diagonal elements equal 0.5, only the upper triangle needs to be identified, resulting in t(t-1)/2 pairwise comparisons.

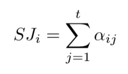
After the MEJ matrix is prepared, a vertical vector of the Summed Judgments SJ is obtained:
equation8
Finally, preference values Pi are calculated by assigning uniformly distributed values in the range [0, 1] to each unique value of SJ.
4

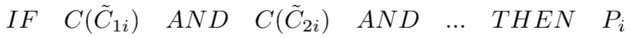
The rule base

Each characteristic object and its value of preference is converted to a fuzzy rule as follows:
equation9
In this way, a complete fuzzy rule base is obtained.
5

Inference and the final ranking

Each alternative is presented as a set of crisp numbers:
Ai = {a1i, a2i, ..., ari}
This set corresponds to the criteria C1, C2, ..., Cr. Mamdani's fuzzy inference method is used to compute the preference of the i-th alternative.

Why this matters: The fuzzy rule base enables evaluation of any alternative within the defined decision problem domain. Each alternative is evaluated independently based on the complete decision model, not in comparison to other alternatives. This independence guarantees that the obtained results are unequivocal and makes the COMET method completely free of rank reversal—adding or removing alternatives never affects the ranking of other alternatives.

The final preference values lie in the range [0, 1], where 1 indicates the best possible alternative and 0 the worst, enabling clear and interpretable decision-making.

Simple Numerical Example

Problem Statement

Consider a simple two-criterion decision problem where we want to rank alternatives based on:

  • C1: Profit (scale 0-10, maximize)
  • C2: Cost (in USD, 0-100, minimize)

Step 1: Characteristic Values

We select three characteristic values for each criterion:

  • Profit: [0, 8, 10]
  • Cost: [0, 50, 100]

Step 2: Characteristic Objects

Cartesian product generates 9 COs:

CO1 = [0, 0]
CO2 = [0, 50]
CO3 = [0, 100]
CO4 = [8, 0]
CO5 = [8, 50]
CO6 = [8, 100]
CO7 = [10, 0] ← Best
CO8 = [10, 50]
CO9 = [10, 100]

Step 3: Expert Evaluation

The expert compares COs pairwise in the MEJ matrix. After summing judgments and converting to preferences, we get:

Preference Values:
P1 = 0.25, P2 = 0.125, P3 = 0.0
P4 = 0.75, P5 = 0.625, P6 = 0.375
P7 = 1.0, P8 = 0.875, P9 = 0.5

Step 4-5: Evaluation Results

Using Mamdani inference on sample alternatives:

Ai C1 C2 Pi Ri
A1 3 20 0.388 4
A2 9 60 0.688 1
A3 5 40 0.463 3
A4 7 50 0.563 2

Key Insight

Alternative A2 ranks first with the highest profit (9), even though it has moderate cost. The COMET method evaluated it independently using the fuzzy rule base—if we add or remove other alternatives, A2's preference value and relative ranking remain unchanged. This demonstrates complete resistance to rank reversal, a critical advantage over traditional MCDA methods.

COMET Extensions & Applications

Modern adaptations to address uncertainty, complexity, and scalability challenges

While the classical COMET method provides robust decision-making capabilities, several extensions have been developed to address specific challenges such as handling uncertainty, reducing computational complexity, and expanding its applicability to real-world problems. These extensions maintain COMET's key advantage—complete resistance to rank reversal—while improving its practical usability.

ESP-COMET

Expected Solution Point COMET simplifies model identification by using only an expected solution point that defines expert expectations, rather than requiring extensive pairwise comparisons. This approach has proven effective in analyzing customer preferences and complex decision scenarios.

Structural COMET

Reduces computational burden by optimizing the structure of characteristic object comparisons. This extension significantly decreases the number of pairwise comparisons needed, making COMET applicable to larger-scale problems without sacrificing accuracy.

Compromise COMET

Adapts the classical COMET method for generating compromise rankings by introducing a voting mechanism into the model identification procedure. Particularly useful in group decision-making scenarios where multiple stakeholders have different preferences.

Triad Support Algorithm

Leverages transitivity and consistency rules to reduce manual pairwise comparisons by up to 90%. The algorithm partially fills the MEJ matrix based on previous answers, dramatically reducing expert effort for large matrices.

Hesitant & Intuitionistic Fuzzy COMET

Extensions using Hesitant Fuzzy Sets and Intuitionistic Fuzzy Sets enable COMET to handle uncertain data and situations where decision-makers have incomplete or hesitant preferences, expanding its applicability to real-world uncertain environments.

Hybrid Methods

VIKOR-COMET and CODAS-COMET combine COMET with other MCDA methods for characteristic object evaluation. These hybrids retain COMET's resistance to rank reversal while leveraging the strengths of complementary methods for practical applications like renewable energy evaluation.

Machine Learning Integration

Modern extensions like INCOME, SVR-COMET, and LA-COMET combine COMET with machine learning algorithms for automated model identification based on available data. SITCOM enables model reidentification based on previously evaluated alternatives.

Real-World Applications

COMET has been successfully applied in renewable energy assessment (solar panels, wind farms), sustainable development, agriculture (crop yield evaluation), engineering, and public policy—demonstrating its versatility across diverse decision-making domains.

Key Advantage

All COMET extensions maintain the method's fundamental property: complete resistance to rank reversal. This means that adding or removing alternatives never affects the relative ranking of other alternatives—a critical feature for reliable decision-making that many traditional MCDA methods lack.

Software Download Center

Get the COMET Decision Support System software and documentation

DSS COMET PL

Polish version of Decision Support System

Try it!

DSS COMET ENG

English version of Decision Support System

Try it!

User Manual

Comprehensive user manual (PDF)

Download

Research Projects

Funded by the National Science Centre (NCN)

NCN OPUS

A new method for determining the significance level of decision criteria based on characteristic objects

UMO-2021/41/B/HS4/01296

The project aims to develop a new method for determining the significance levels (weights) of decision criteria using characteristic objects. Unlike traditional approaches, the proposed solution considers both global and local weights, accounting for how each criterion's importance changes depending on context and the current "saturation" level of the attribute in question.

Selected Publications:

Wątróbski, J., Bączkiewicz, A., Król, R., & Sałabun, W. (2022). Green electricity generation assessment using the CODAS-COMET method. Ecological Indicators, 143, 1-32.
Shekhovtsov, A., Kizielewicz, B., & Sałabun, W. (2023). Advancing individual decision-making: An extension of the characteristic objects method using expected solution point. Information Sciences, 647, 1-24.
Więckowski, J., Sałabun, W., Kizielewicz, B., Bączkiewicz, A., Shekhovtsov, A., Paradowski, B., & Wątróbski, J. (2023). Recent advances in multi-criteria decision analysis: A comprehensive review. Int. Journal of Knowledge-based Systems, 27, 367-393.
Kizielewicz, B., Shekhovtsov, A., & Sałabun, W. (2023). pymcdm—The universal library for solving multi-criteria decision-making problems. SoftwareX, 22, 1-8.
Więckowski, J., & Sałabun, W. (2023). Sensitivity analysis approaches in multi-criteria decision analysis: A systematic review. Applied Soft Computing, 148, 1-19.
Więckowski, J., & Sałabun, W. (2024). A new sensitivity analysis method for decision-making with multiple parameters modification. Information Sciences, 678, 1-19.

NCN Preludium

A new method using reference objects to support decision-making process in multi-criteria problems under uncertainty

UMO-2016/23/N/HS4/01931

The objective of the proposed research is to develop a new method using reference objects to support decision-making in multi-criteria problems under uncertainty. The motivation for the proposed research is the fact that in many areas of science, including behavioral economics, sustainable development or management, we are dealing more and more with multi-criteria problems whose solution is sought in the conditions of uncertainty.

Key Publications:

Sałabun, W., Karczmarczyk, A., Wątróbski, J., & Jankowski, J. (2018). Handling Data Uncertainty in Decision Making with COMET. IEEE SSCI, 1478-1484.
Sałabun, W., & Karczmarczyk, A. (2018). Using the comet method in the sustainable city transport problem. Procedia Computer Science, 126, 2248-2260.
Faizi, S., Sałabun, W., Rashid, T., Wątróbski, J., & Zafar, S. (2017). Group decision-making for hesitant fuzzy sets based on characteristic objects method. Symmetry, 9(8), 136.
Wątróbski, J., Sałabun, W., Karczmarczyk, A., & Wolski, W. (2017). Sustainable decision-making using the COMET method. FedCSIS, 949-958.

Key References

Important research papers about the COMET method

Journal Articles

Sałabun, W. (2015). The Characteristic Objects Method: A New Distance‐based Approach to Multicriteria Decision‐making Problems. Journal of Multi-Criteria Decision Analysis, 22(1-2), 37-50.
Sałabun, W., Piegat, A. (2016). Comparative analysis of MCDM methods for the assessment of mortality in patients with acute coronary syndrome. Artificial Intelligence Review, 1-15.
Piegat, A., Sałabun, W. (2014). Identification of a multicriteria decision-making model using the characteristic objects method. Applied Computational Intelligence and Soft Computing, 2014, 14.
Faizi, S., Rashid, T., Sałabun, W., Zafar, S., Wątróbski, J. (2017). Decision Making with Uncertainty Using Hesitant Fuzzy Sets. International Journal of Fuzzy Systems, 1-11.

Book Chapters & Conference Papers

Sałabun, W., Ziemba, P., Wątróbski, J. (2016). The Rank Reversals Paradox in Management Decisions: The Comparison of the AHP and COMET Methods. Intelligent Decision Technologies 2016, 181-191. Springer.
Watróbski, J., Sałabun, W. (2016). The characteristic objects method: a new intelligent decision support tool for sustainable manufacturing. Sustainable Design and Manufacturing 2016, 349-359. Springer.
Sałabun, W., Wątróbski, J., & Piegat, A. (2016). Identification of a Multi-criteria Model of Location Assessment for Renewable Energy Sources. ICAISC, 321-332. Springer.
Piegat, A., Sałabun, W. (2015). Comparative analysis of MCDM methods for assessing the severity of chronic liver disease. ICAISC, 228-238. Springer.

Contact

Get in touch with us

Address

Department of Artificial Intelligence method and Applied Mathematics
Faculty of Computer Science and Information Technology
West Pomeranian University of Technology, Szczecin
ul. Żołnierska 49, 71-210 Szczecin, Poland

Academic Profiles